黄瓜视频成人免费版,黄瓜网站视频,黄瓜视频在线视频,黄瓜视频软件免费下载

型号查询
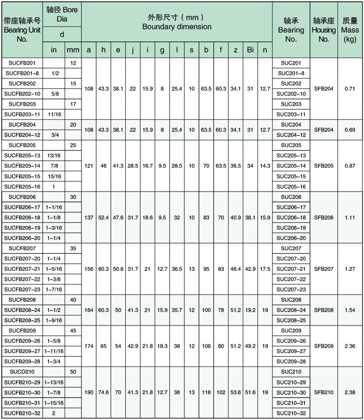
黄瓜网站视频型号   品牌
SIAIF
类型 内径   外径   厚度   点击查询

型号查询 X

SIAIF

不锈钢黄瓜网站视频,高温黄瓜网站视频,耐高温黄瓜网站视频,薄壁球黄瓜网站视频,自润滑黄瓜网站视频,转台黄瓜网站视频,外球面黄瓜网站视频,组合黄瓜网站视频,汽车黄瓜网站视频,角接触球黄瓜网站视频,无油黄瓜网站视频,交叉滚子黄瓜网站视频,调心球黄瓜网站视频,平面黄瓜网站视频,角接触黄瓜网站视频,哈尔滨黄瓜网站视频,高速黄瓜网站视频,陶瓷黄瓜网站视频,高温润滑脂,圆锥滚子黄瓜网站视频,推力球黄瓜网站视频,调心滚子黄瓜网站视频,圆柱滚子黄瓜网站视频,黄瓜网站视频座,SKF黄瓜网站视频,NSK黄瓜网站视频,NTN黄瓜网站视频,替代进口黄瓜网站视频型号查询







不锈钢外球面球黄瓜网站视频实际上是不锈钢深沟球黄瓜网站视频的一种变型,特点是它的外圈外径表面为球面,可以配入黄瓜网站视频座相应的凹球面内起到调心的作用。不锈钢外球面黄瓜网站视频主要用来承受以径向负荷为主的径向与轴向联合负荷,一般不宜单独承受轴向负荷。 

不锈钢外球面黄瓜网站视频优先适用于要求设备及零部件简单的场合,例如用于农业机械、运输系统或建筑机械上。主要用来承受以径向负荷为主的径向与轴向联合负荷,一般不宜单独承受轴向负荷,不锈钢外球面黄瓜网站视频可以分别安装内圈(带全组滚子与保持器)和外圈。不锈钢外球面黄瓜网站视频不允许轴相对外壳有倾斜,在径向负荷任用下会产生附加轴向力。

不锈钢外球面黄瓜网站视频轴向游隙的大小,对黄瓜网站视频能否正常工作关系很大,当轴向游隙过小时,温升较高;轴向游隙较大时,黄瓜网站视频容易损坏。故在安装和运转时要特别注意调整黄瓜网站视频的轴向游隙,必要时可以预过盈安装,以增加黄瓜网站视频的刚性。 不锈钢带座外球面黄瓜网站视频是将滚动黄瓜网站视频与黄瓜网站视频座结合在一起的一种黄瓜网站视频单元。大部分不锈钢外球面黄瓜网站视频都是将外径做成球面,与带有球状内孔的不锈钢外球面黄瓜网站视频座安装在一起,结构形式多样,通用性和互换性好。

不锈钢外球面黄瓜网站视频在设计上也具有一定调心性,易于安装,具有双重结构的密封装置,可以在恶劣的环境下工作。不锈钢外球面黄瓜网站视频座一般是采用铸造成型。常用不锈钢黄瓜网站视频座有立式座(P)、方形座(F)、凸台方形座(FS)、凸台圆形座(FC)、菱形座(FL)、环形座(C)、滑块座等(T)。 

不锈钢外球面黄瓜网站视频主要用途:医疗器械、低温工程 、 光学仪器、高速机床 、高速电机、印刷机械 、食品加工机械。



网站地图